Free Access

Fig. 8

thumbnail

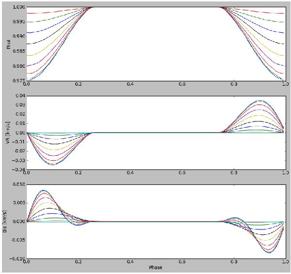
RV, BIS, and photometry as a function of the stellar rotational phase. The different colors illustrate the change in latitude of the spot. The maximum amplitude variation of the three parameters are given for an equatorial spot. No variation is detected when the spot is on the pole. We note that beyond a certain value of lat (≈ 50°), the shape of the BIS variation changes.

Current usage metrics show cumulative count of Article Views (full-text article views including HTML views, PDF and ePub downloads, according to the available data) and Abstracts Views on Vision4Press platform.

Data correspond to usage on the plateform after 2015. The current usage metrics is available 48-96 hours after online publication and is updated daily on week days.

Initial download of the metrics may take a while.