Free Access

Fig. 10

thumbnail

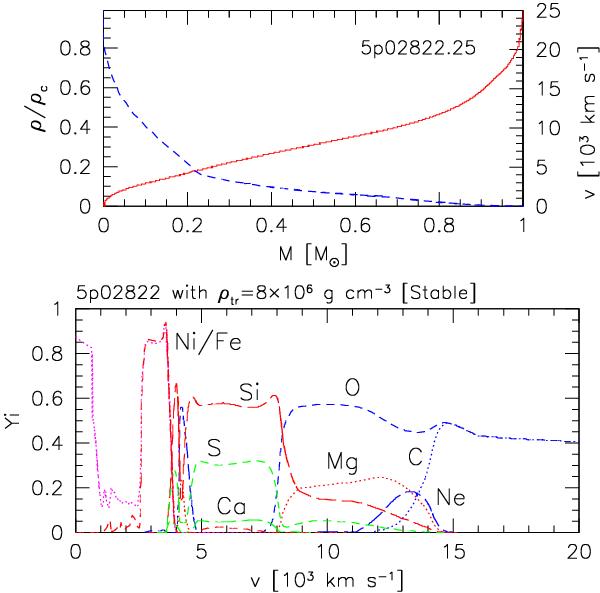
Density (dotted) and velocity (solid) as a function of enclosed mass (upper panel), and abundances of stable isotopes (lower panel) as a function of the expansion velocity for DD-model 5p0z22.8, with a transition density of ρtr = 8 × 106 g cm-3. In addition, 56Ni is given (from Höflich et al. 2002).

Current usage metrics show cumulative count of Article Views (full-text article views including HTML views, PDF and ePub downloads, according to the available data) and Abstracts Views on Vision4Press platform.

Data correspond to usage on the plateform after 2015. The current usage metrics is available 48-96 hours after online publication and is updated daily on week days.

Initial download of the metrics may take a while.