Free Access

Fig. 3

thumbnail

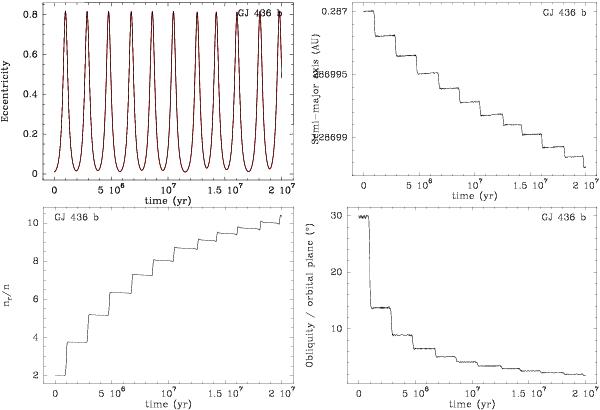
Secular evolution over 2 × 107yr of GJ 436b assuming an initial value a = 0.287 AU and a perturber with m′ = 0.1 MJup and a′ = 3.583 AU (T′ = 10 yr): eccentricity (top left), semi-major axis (top right), rotation speed with respect to the orbital mean-motion (Ω/n, bottom left), and obliquity angle (bottom right). On the eccentricity plot we overplot in red the result of the same integration, but using a conventional Bulirsh & Stoer integrator.

This figure is made of several images, please see below:

Current usage metrics show cumulative count of Article Views (full-text article views including HTML views, PDF and ePub downloads, according to the available data) and Abstracts Views on Vision4Press platform.

Data correspond to usage on the plateform after 2015. The current usage metrics is available 48-96 hours after online publication and is updated daily on week days.

Initial download of the metrics may take a while.