Free Access

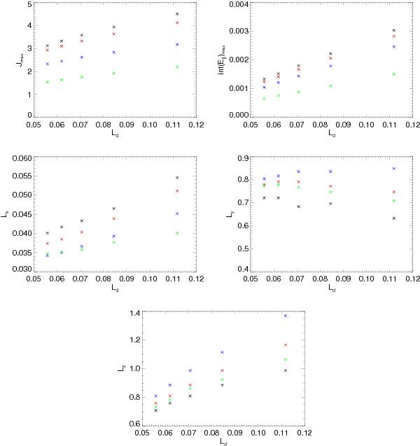
Fig. 12

thumbnail

Scaling of the absolute value of the driving velocity with peak current |J|max, peak reconnection rate and sheet dimensions in the x, y and z directions (Lx,Ly and Lz) taken as the full width at half maximum. Here runs for one pulse are in green and with two are in black (tlag = 0), red tlag = 0.9 and blue tlag = 1.8 when τ = 1.8, v0 = 0.01 and η = 5 × 10-4. (This figure is available in color in the electronic form.)

This figure is made of several images, please see below:

Current usage metrics show cumulative count of Article Views (full-text article views including HTML views, PDF and ePub downloads, according to the available data) and Abstracts Views on Vision4Press platform.

Data correspond to usage on the plateform after 2015. The current usage metrics is available 48-96 hours after online publication and is updated daily on week days.

Initial download of the metrics may take a while.