Free Access

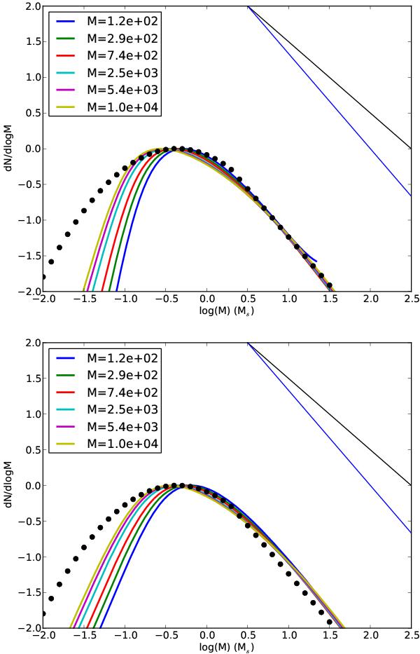
Fig. 7

thumbnail

Mass spectra for various cluster masses and the fiducial value α∗,c = 2. The dots represent the Chabrier IMF. The two lines represent the distribution M-2 and M-2.3. The upper panel displays the mass distribution obtained with Eq. (38) while the lower panel shows this mass distribution convolved by a Gaussian of dispersion σ = M/2.

This figure is made of several images, please see below:

Current usage metrics show cumulative count of Article Views (full-text article views including HTML views, PDF and ePub downloads, according to the available data) and Abstracts Views on Vision4Press platform.

Data correspond to usage on the plateform after 2015. The current usage metrics is available 48-96 hours after online publication and is updated daily on week days.

Initial download of the metrics may take a while.