Free Access

Fig. 8

thumbnail

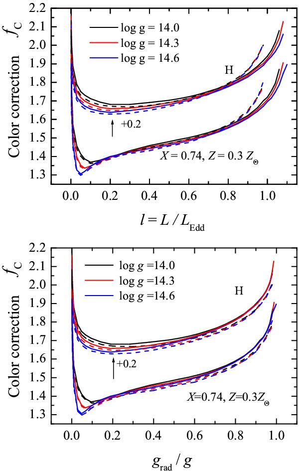
Color correction factors fc,1 (computed using method 1 from SPW11) for model atmospheres of two chemical compositions (pure hydrogen and solar hydrogen/helium mix with 30% of solar heavy-element abundance) and different log g as functions of the relative luminosity l (top panel) or grad/g (bottom panel). The new models based on the exact RF are shown by the solid curves, and the old models, based on the Kompaneets operator, by dashed curves.

This figure is made of several images, please see below:

Current usage metrics show cumulative count of Article Views (full-text article views including HTML views, PDF and ePub downloads, according to the available data) and Abstracts Views on Vision4Press platform.

Data correspond to usage on the plateform after 2015. The current usage metrics is available 48-96 hours after online publication and is updated daily on week days.

Initial download of the metrics may take a while.