Free Access

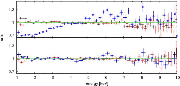
Fig. 5

thumbnail

Comparison of Suzaku and XMM-Newton data residuals. Up: data residuals from the identical underlying model consisting of an absorbed power law and a Gaussian line. Bottom: data residuals from the final model containing an additional absorber with different covering fraction and slightly different slope of the power law for the XMM-Newton and the Suzaku observation. The front-illuminated spectra of XIS 0 and XIS 3 are jointly shown by black data points, the back-illuminated XIS 1 are red, and the EPIC-pn data are blue and emphasised by small circles. The data are binned for plotting purposes only.

Current usage metrics show cumulative count of Article Views (full-text article views including HTML views, PDF and ePub downloads, according to the available data) and Abstracts Views on Vision4Press platform.

Data correspond to usage on the plateform after 2015. The current usage metrics is available 48-96 hours after online publication and is updated daily on week days.

Initial download of the metrics may take a while.