Free Access

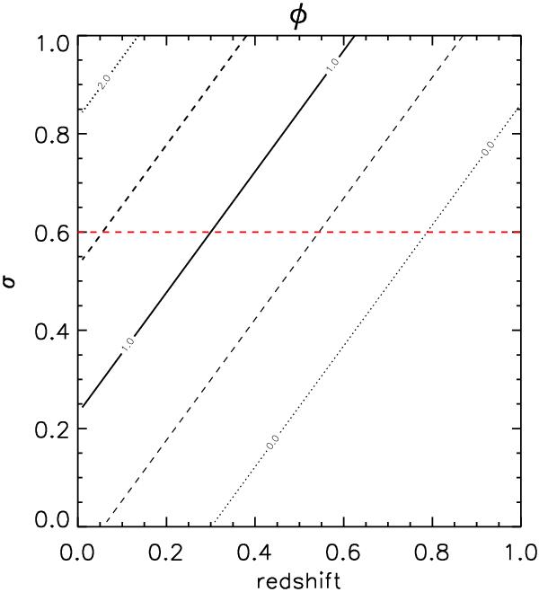
Fig. 7

thumbnail

Expected values for the function φ +  introduced in Eq. (4) in the z − σ parameter space. The black lines represent the loci where a combination of the values of z and σ are expected to yield identical values of φ + . The dashed red line represent the boundary between CC and NCC clusters.

Current usage metrics show cumulative count of Article Views (full-text article views including HTML views, PDF and ePub downloads, according to the available data) and Abstracts Views on Vision4Press platform.

Data correspond to usage on the plateform after 2015. The current usage metrics is available 48-96 hours after online publication and is updated daily on week days.

Initial download of the metrics may take a while.