Free Access

Fig. 2

thumbnail

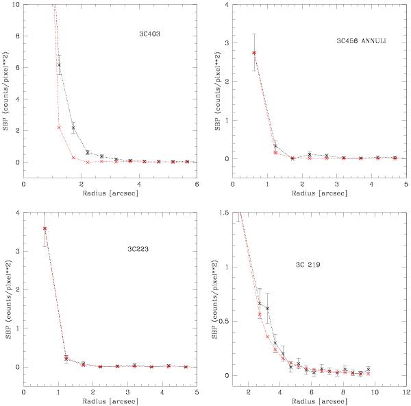
Comparison of the observed SBP (black) with the PSF profile (red) for 4 representative examples. Top left: 3C 403, an “extended” object. Rebinning from 3 to 5 pixels we obtain an excess significant at 9.4σ. Top right: 3C 456, an “asymmetric” object. Rebinning from 5 to 9 pixels, we obtain an excess with a significance of 2.5σ, but the difference of the counts considering two orthogonal boxes (one parallel to the radio axis, the second perpendicular to it) centered on the nucleus, is significant at 3.5σ. Bottom left: 3C 223, an “unresolved” object. Bottom right: the BLO 3C 219. The emission seen at large radii is well reproduced by the wings of the nuclear point source, with only a marginal (1.4σ) excess, and no significant asymmetry is found comparing the two orthogonal boxes. We consider this object to be “unresolved”.

Current usage metrics show cumulative count of Article Views (full-text article views including HTML views, PDF and ePub downloads, according to the available data) and Abstracts Views on Vision4Press platform.

Data correspond to usage on the plateform after 2015. The current usage metrics is available 48-96 hours after online publication and is updated daily on week days.

Initial download of the metrics may take a while.