Free Access

Fig. 7

thumbnail

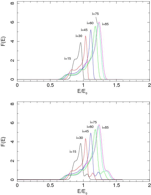
(Top panel) Profiles of an emission line from an optically thin pressure supported structured accretion torus viewed at different inclinations i. The dynamical parameters of the torus are n = 0.21 and rk = 12 rg. The black-hole spin parameter a = 0.998. The ratio of the gas thermal pressure to the total pressure β = 1.235 × 10-5. The radius of the inner boundary rin = 8.528 rg and the radius of the outer boundary rout = 20.246 rg. The line emissivity is proportional to the density ρ. These line profiles are normalised such that the line flux F(E0) = 1 when the torus is viewed at i = 60°. (Bottom panel) Profiles of composite profiles from two emission lines. The torus and black hole parameters are the same as those for the lines in the top panel. The line energies are such that one line has an energy 10% higher than the other line and the emissivity of the line with the higher line centre energy is 14% of that of the line with the lower line centre energy (cf. analogous to the relative properties of the Fe Kα and Kβ lines, Hölzer et al. 1997).

This figure is made of several images, please see below:

Current usage metrics show cumulative count of Article Views (full-text article views including HTML views, PDF and ePub downloads, according to the available data) and Abstracts Views on Vision4Press platform.

Data correspond to usage on the plateform after 2015. The current usage metrics is available 48-96 hours after online publication and is updated daily on week days.

Initial download of the metrics may take a while.