Highlight
Free Access

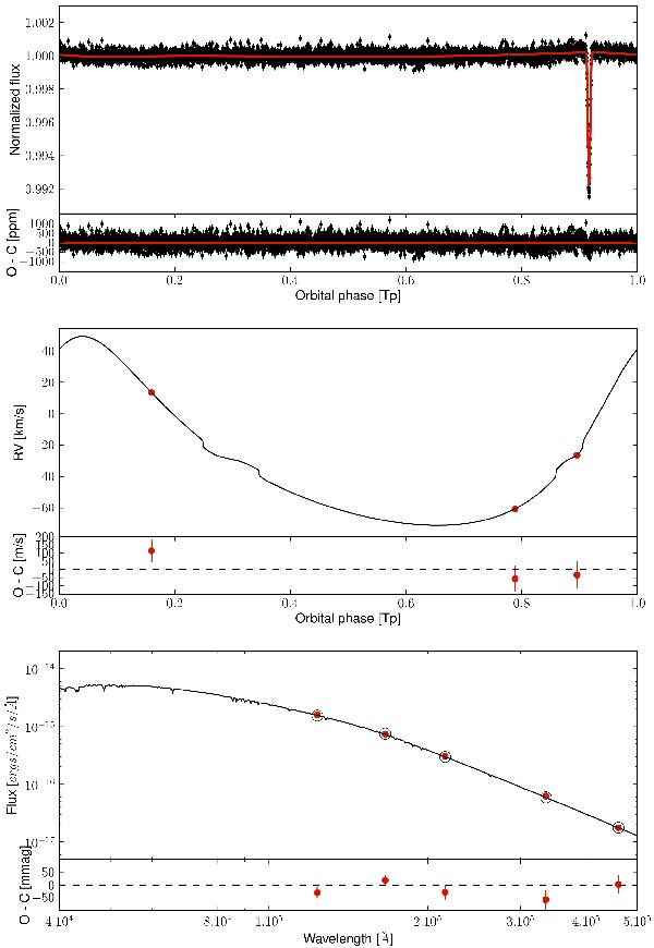
Fig. 8

thumbnail

KOI-698 light-curve (top panel), radial velocities (middle panel) and spectral energy distribution (bottom panel) with the best-combined fit (red or black line). The phase zero corresponds to the periastron epoch. The open circles in the bottom panel correspond to the best model integrated toward the same band-passes as the photometric measurements (red dots). The Rossiter-McLaughlin-like effect seen around phase 0.3 and 0.9 is due to the expected variation when the primary and secondary spectra are blended.

This figure is made of several images, please see below:

Current usage metrics show cumulative count of Article Views (full-text article views including HTML views, PDF and ePub downloads, according to the available data) and Abstracts Views on Vision4Press platform.

Data correspond to usage on the plateform after 2015. The current usage metrics is available 48-96 hours after online publication and is updated daily on week days.

Initial download of the metrics may take a while.