Free Access

Fig. 4

thumbnail

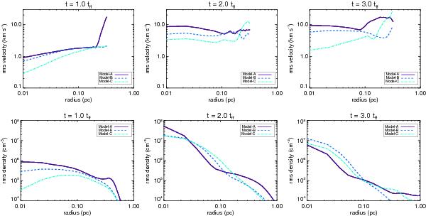
Radial profiles of the cloud. The rms velocities and the rms densities of models A, B, and C are plotted against cloud radius. The radius originates in the center of the cloud. The rms velocities are obtained in the frame of reference of the cloud orbiting the black hole. From left to right, the time frames of t = 1, 2, and 3 tff are displayed.

This figure is made of several images, please see below:

Current usage metrics show cumulative count of Article Views (full-text article views including HTML views, PDF and ePub downloads, according to the available data) and Abstracts Views on Vision4Press platform.

Data correspond to usage on the plateform after 2015. The current usage metrics is available 48-96 hours after online publication and is updated daily on week days.

Initial download of the metrics may take a while.