Free Access

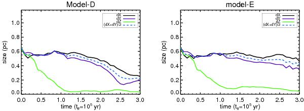
Fig. 8

thumbnail

Spatial sizes of the cloud. The size of the cloud in each spatial direction is plotted against time in tff. The sizes in the direction of rotation are denoted by dX and dY, and the height is given by dZ. The dashed line is a representation of the average disk size.

This figure is made of several images, please see below:

Current usage metrics show cumulative count of Article Views (full-text article views including HTML views, PDF and ePub downloads, according to the available data) and Abstracts Views on Vision4Press platform.

Data correspond to usage on the plateform after 2015. The current usage metrics is available 48-96 hours after online publication and is updated daily on week days.

Initial download of the metrics may take a while.