Free Access

Fig. 6

thumbnail

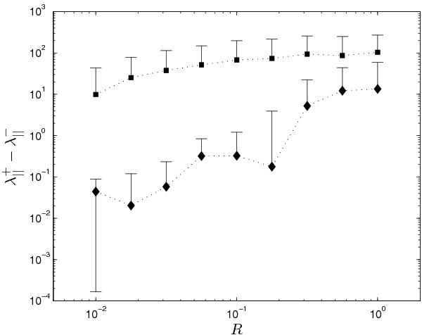
Comparison of the parallel mean free path for particles moving initially with vz > 0 (denoted by ) and with vz < 0 (denoted by ). As in the previous figures, diamonds and squares show the cases of absolutely and relatively constant turbulence strength, respectively. Note that for the estimated mean error, only upper limits are available.

Current usage metrics show cumulative count of Article Views (full-text article views including HTML views, PDF and ePub downloads, according to the available data) and Abstracts Views on Vision4Press platform.

Data correspond to usage on the plateform after 2015. The current usage metrics is available 48-96 hours after online publication and is updated daily on week days.

Initial download of the metrics may take a while.