Free Access

Fig. 5

thumbnail

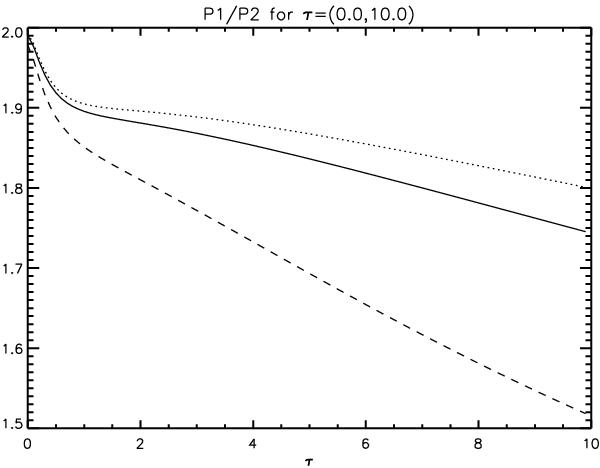
The same as in Fig. 3, but here we assume that the expansion of the loop occurs such that the loop evolves into a loop with a semi-elliptical shape. The meaning of different line-styles is identical to Fig. 2.

Current usage metrics show cumulative count of Article Views (full-text article views including HTML views, PDF and ePub downloads, according to the available data) and Abstracts Views on Vision4Press platform.

Data correspond to usage on the plateform after 2015. The current usage metrics is available 48-96 hours after online publication and is updated daily on week days.

Initial download of the metrics may take a while.