Free Access

Fig. 17

thumbnail

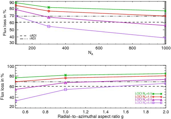
Flux loss on a disk as a function of the size of the LOCI optimization region NA (top chart) and its radial-to-azimuthal aspect ratio g (bottom chart). An initial disk parametrized with i = 75°, αin = 5 and αout = −2.5 is used here, with g kept constant to 1. for the top chart and NA kept constant to 300. for the bottom chart. Flux losses in cADI and rADI (Nδ = 1.5) are shown here for reference.

Current usage metrics show cumulative count of Article Views (full-text article views including HTML views, PDF and ePub downloads, according to the available data) and Abstracts Views on Vision4Press platform.

Data correspond to usage on the plateform after 2015. The current usage metrics is available 48-96 hours after online publication and is updated daily on week days.

Initial download of the metrics may take a while.