Free Access

Fig. 12

thumbnail

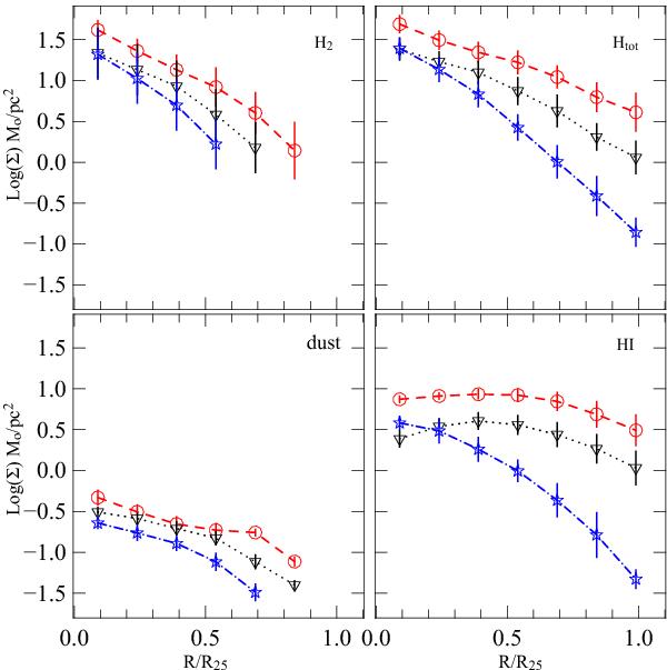
Average radial surface mass densities of the dust (bottom left panel), ΣHI (bottom right panel), ΣH2 (top left panel), and ΣHtot (top right panel). Red circles, black triangles, and blue stars represent the average profiles for non-deficient (defHI < 0.4), slightly HI-deficient (0.4 ≤  defHI ≤  0.7), and HI-deficient (defHI > 0.7) galaxies, respectively. The molecular component has been estimated using the Galactic XCO.

Current usage metrics show cumulative count of Article Views (full-text article views including HTML views, PDF and ePub downloads, according to the available data) and Abstracts Views on Vision4Press platform.

Data correspond to usage on the plateform after 2015. The current usage metrics is available 48-96 hours after online publication and is updated daily on week days.

Initial download of the metrics may take a while.