Free Access

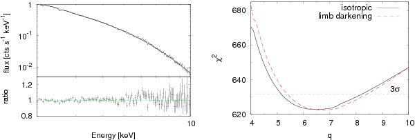
Fig. 7

thumbnail

As in Fig. 5, but the data were created by a lamp-post model with the height h = 1.5 rg. In the right panel, we show a further overestimation of q by employing limb darkening instead of isotropic angular directionality used in the data simulation (red dashed line).

This figure is made of several images, please see below:

Current usage metrics show cumulative count of Article Views (full-text article views including HTML views, PDF and ePub downloads, according to the available data) and Abstracts Views on Vision4Press platform.

Data correspond to usage on the plateform after 2015. The current usage metrics is available 48-96 hours after online publication and is updated daily on week days.

Initial download of the metrics may take a while.