Free Access

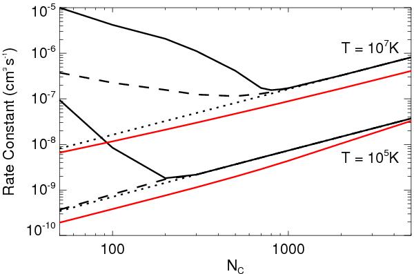
Fig. 3

thumbnail

dN/dt/nH at T = 105 K and at T = 107 K. Red line: rate constant for a-C:H grains. Black lines: rate constant for PAHs; the dotted line shows nuclear interaction only, the dashed line the summed effects of nuclear and electronic interactions, whilst the solid line includes electron collisions as well. The results for T = 106 K are not shown here but are very similar to those for T = 107 K.

Current usage metrics show cumulative count of Article Views (full-text article views including HTML views, PDF and ePub downloads, according to the available data) and Abstracts Views on Vision4Press platform.

Data correspond to usage on the plateform after 2015. The current usage metrics is available 48-96 hours after online publication and is updated daily on week days.

Initial download of the metrics may take a while.