Free Access

Fig. 10

thumbnail

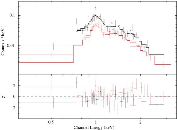
EPIC pn (black) and MOS2 (red) spectra of the candidate galaxy cluster XMMU J011926.0-730134, fitted with an absorbed thin plasma emission (mekal) model. Net exposures are 27.4 ks and 32.9 ks, respectively. Top: data with best-fit model as histograms. Bottom: residuals in units of sigma.

Current usage metrics show cumulative count of Article Views (full-text article views including HTML views, PDF and ePub downloads, according to the available data) and Abstracts Views on Vision4Press platform.

Data correspond to usage on the plateform after 2015. The current usage metrics is available 48-96 hours after online publication and is updated daily on week days.

Initial download of the metrics may take a while.