Free Access

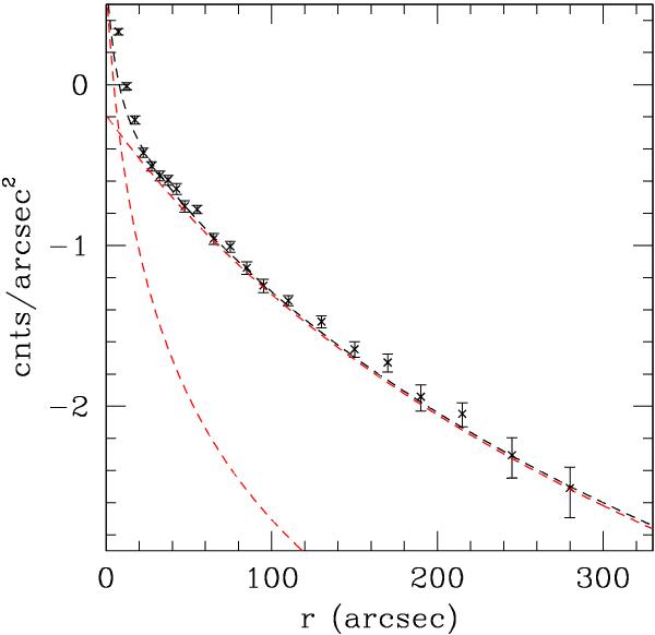
Fig. 12

thumbnail

Azimuthally averaged net profile of the emission from NGC 5328 observed with EPIC-PN in 0.3–2 keV. The dashed line represent a model given by the sum of two β-models with: rc = 6.6″; β = 0.63 (PSF) and rc = 160″; β = 1.05.

Current usage metrics show cumulative count of Article Views (full-text article views including HTML views, PDF and ePub downloads, according to the available data) and Abstracts Views on Vision4Press platform.

Data correspond to usage on the plateform after 2015. The current usage metrics is available 48-96 hours after online publication and is updated daily on week days.

Initial download of the metrics may take a while.