Free Access

Fig. 13

thumbnail

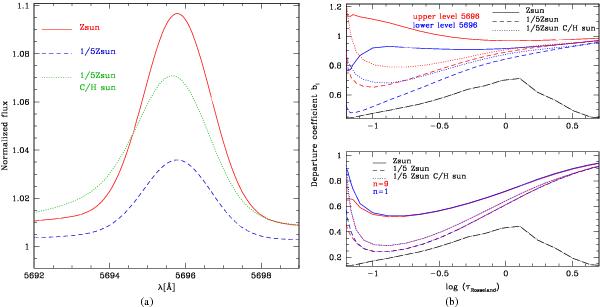
Effect of the metallicity Z on the formation of C iii 5696 at Teff = 30 500 K. Left: spectra of C iii 5696 at Z (solid), 1/5th Z (dashed) and 1/5th Z but with C/H at the solar value (dotted). Right: departure coefficient of the C iii 5696 lower and upper levels at Z (solid lines), 1/5th Z (dashed lines) and 1/5th Z with C/H at the solar value (dotted). The dot-dashed line indicates the line formation region.

This figure is made of several images, please see below:

Current usage metrics show cumulative count of Article Views (full-text article views including HTML views, PDF and ePub downloads, according to the available data) and Abstracts Views on Vision4Press platform.

Data correspond to usage on the plateform after 2015. The current usage metrics is available 48-96 hours after online publication and is updated daily on week days.

Initial download of the metrics may take a while.