Free Access

Fig. D.2

thumbnail

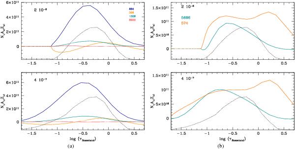
Effect of mass loss rate on total radiative rates for lines from level 2s3p 1Po (left) and level 2s3d1D (right). The models have Teff = 42 000 K. The upper panels correspond to the model with = 2 × 10-6 M yr-1, the lower panel to models with = 4 × 10-7 M yr-1.

This figure is made of several images, please see below:

Current usage metrics show cumulative count of Article Views (full-text article views including HTML views, PDF and ePub downloads, according to the available data) and Abstracts Views on Vision4Press platform.

Data correspond to usage on the plateform after 2015. The current usage metrics is available 48-96 hours after online publication and is updated daily on week days.

Initial download of the metrics may take a while.