Free Access

Fig. 3

thumbnail

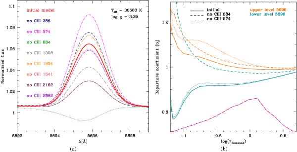
Effect of the C iii UV lines on the formation of C iii 5696. Left: initial C iii 5696 spectrum (solid) and spectra from models in which several C iii UV lines have been artificially removed. Right: departure coefficient of the C iii 5696 lower and upper levels in the initial model (solid lines), the model without C iii 884 Å (dashed lines) and the model without C iii 574 Å (dotted lines). Departure coefficients are plotted as a function of Rosseland opacity. The dot-dashed line at the bottom indicates the C iii 5696 formation region expressed in terms of the contribution function as a function of τRosseland.

This figure is made of several images, please see below:

Current usage metrics show cumulative count of Article Views (full-text article views including HTML views, PDF and ePub downloads, according to the available data) and Abstracts Views on Vision4Press platform.

Data correspond to usage on the plateform after 2015. The current usage metrics is available 48-96 hours after online publication and is updated daily on week days.

Initial download of the metrics may take a while.