Free Access

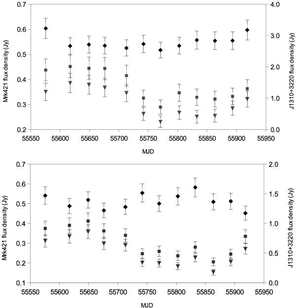
Fig. 4

thumbnail

Light curves for Mrk 421 (squares represents the total flux density and triangles represent the core flux density) and the calibrator J1310+3220 (diamonds represent the total flux density, with scale given on the right hand y-axis). The upper and lower panels refer respectively to the 15 GHz and 24 GHz data.

This figure is made of several images, please see below:

Current usage metrics show cumulative count of Article Views (full-text article views including HTML views, PDF and ePub downloads, according to the available data) and Abstracts Views on Vision4Press platform.

Data correspond to usage on the plateform after 2015. The current usage metrics is available 48-96 hours after online publication and is updated daily on week days.

Initial download of the metrics may take a while.