Free Access

Fig. 5

thumbnail

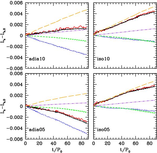
Decomposition of the Lz evolution for the four runs. The ΔLz contributions stem from a (dotted), e (dashed), M (dot dashed) and μ (long dashed) variations separately. The sum of the four contributions is given by the solid black line, whereas the solid red line is, as in Fig. 4, the angular momentum evolution taken directly from the raw simulation data. All ΔL are in units of  [M0a0Vc,0] .

Current usage metrics show cumulative count of Article Views (full-text article views including HTML views, PDF and ePub downloads, according to the available data) and Abstracts Views on Vision4Press platform.

Data correspond to usage on the plateform after 2015. The current usage metrics is available 48-96 hours after online publication and is updated daily on week days.

Initial download of the metrics may take a while.