Free Access

Fig. 3

thumbnail

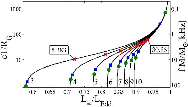
The semi-period T of the oscillation in geometrical units as a function of peak luminosity at infinity in Eddington units, when kinetic energy is instantaneously converted to luminosity (δtr = 0). The corresponding frequency f = 1/(2T) can be read off in kHz from the right vertical axis. The curves are labeled with the stellar radius (3, ...,10) in units of RG. Filled squares indicate a value of the slope dlog T/dlog L = 50, filled circles a value of 100, and the crosses the minimum value of the logarithmic derivative for each curve.

Current usage metrics show cumulative count of Article Views (full-text article views including HTML views, PDF and ePub downloads, according to the available data) and Abstracts Views on Vision4Press platform.

Data correspond to usage on the plateform after 2015. The current usage metrics is available 48-96 hours after online publication and is updated daily on week days.

Initial download of the metrics may take a while.