Free Access

Fig. 4

thumbnail

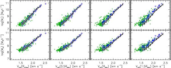
Simulated sTFR (upper panels) and bTFR (lower panels) at z = 0 by using Vrot estimated at different radii as indicated in the labels. The green circles depict systems with , while the blue squares represent systems with . The black solid lines indicate the mean relations estimated by using Vcirc measured at the corresponding radii and their standard deviations.

Current usage metrics show cumulative count of Article Views (full-text article views including HTML views, PDF and ePub downloads, according to the available data) and Abstracts Views on Vision4Press platform.

Data correspond to usage on the plateform after 2015. The current usage metrics is available 48-96 hours after online publication and is updated daily on week days.

Initial download of the metrics may take a while.