Highlight
Free Access

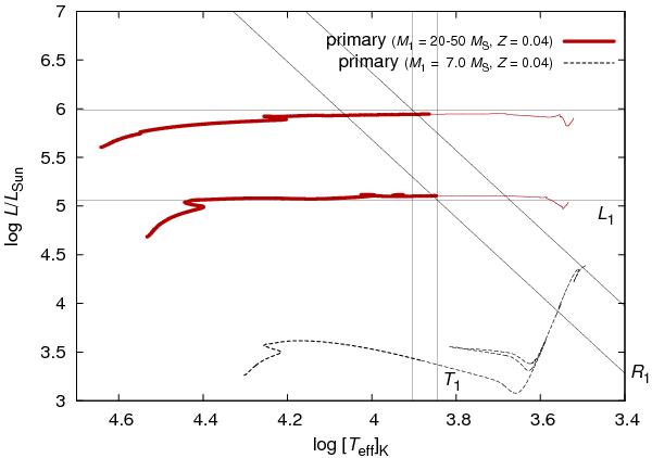
Fig. 11

thumbnail

Evolutionary tracks computed for ε Aur in the HR diagram. We show the evolution from the zero-age main sequence. The thin lines correspond to the observed effective temperatures, radii and luminosities of ε Aur. The range of masses are indicated in the legend. We also plot the evolutionary track for a lower-mass star (mini = 7 M) for comparison as a dotted line. It never reaches the observed luminosity, even in the post-AGB phase. The post-AGB evolution track (not shown in the plot) is nearly horizontal (at nearly a constant log L/L ~ 4.4) as the star moves to the hotter (left) in the diagram.

Current usage metrics show cumulative count of Article Views (full-text article views including HTML views, PDF and ePub downloads, according to the available data) and Abstracts Views on Vision4Press platform.

Data correspond to usage on the plateform after 2015. The current usage metrics is available 48-96 hours after online publication and is updated daily on week days.

Initial download of the metrics may take a while.