Free Access

Fig. 1

thumbnail

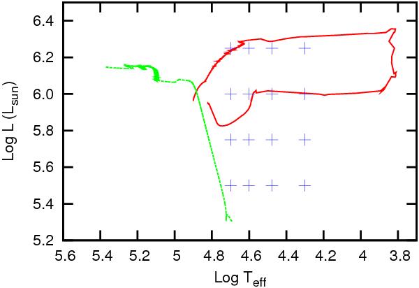
Evolutionary tracks for metal-poor stars. The green track is for Minit = 40   M, Z = 10-5 and for a rotational velocity that is vrot = 555 km   s-1 (Yoon et al. 2006). This model evolves homogeneously. The red track is for Minit = 85   M, Z = 10-8 and vrot = 800 km   s-1 (Hirschi 2007). The blue pluses denote (L, Teff) combinations for which mass-loss rates have been computed using abundance patterns that are typical for the surface composition of the evolutionary tracks.

Current usage metrics show cumulative count of Article Views (full-text article views including HTML views, PDF and ePub downloads, according to the available data) and Abstracts Views on Vision4Press platform.

Data correspond to usage on the plateform after 2015. The current usage metrics is available 48-96 hours after online publication and is updated daily on week days.

Initial download of the metrics may take a while.