Free Access

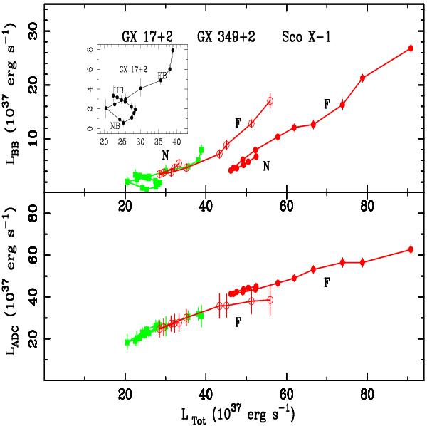
Fig. 6

thumbnail

Variation of the blackbody luminosity (upper panel) and ADC luminosity (lower panel) around the Z-track in the Sco-like sources. To improve clarity, an expanded view of GX 17+2 is given in the inset.

This figure is made of several images, please see below:

Current usage metrics show cumulative count of Article Views (full-text article views including HTML views, PDF and ePub downloads, according to the available data) and Abstracts Views on Vision4Press platform.

Data correspond to usage on the plateform after 2015. The current usage metrics is available 48-96 hours after online publication and is updated daily on week days.

Initial download of the metrics may take a while.