Free Access

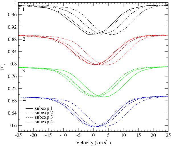
Fig. 3

thumbnail

LSD I profiles of individual subexposures obtained using the mask with all but He lines. The subexposures of the 4 polarisation measurements are shown from top to bottom. The profiles have been arbitrarily shifted by –0.1, –0.2 and –0.3 in intensity to ease the reading of the figure. The 4 subexposures of each polarisation measurements are drawn with solid, dotted, dashed, and dahsed-dotted lines in chronological order.

Current usage metrics show cumulative count of Article Views (full-text article views including HTML views, PDF and ePub downloads, according to the available data) and Abstracts Views on Vision4Press platform.

Data correspond to usage on the plateform after 2015. The current usage metrics is available 48-96 hours after online publication and is updated daily on week days.

Initial download of the metrics may take a while.