Free Access

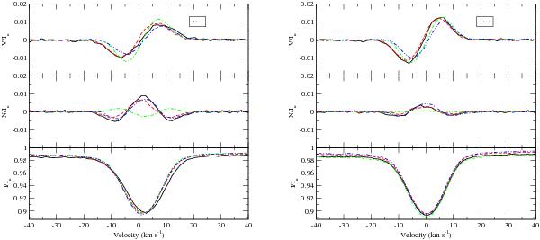
Fig. 8

thumbnail

LSD V (top), N (middle), and I (bottom) profiles of HD 96446 calculated using all photospheric but H and He lines, without (left) or with (right) correction of the radial velocity shifts. Full black line: 23/05, red-dashed line: 24/05 3:30, green dot-dashed line: 24/05 23:14, blue dot-dot-dashed line: 27/05. The mean error bars are plotted in the top box with the respective colour and in chronological order.

This figure is made of several images, please see below:

Current usage metrics show cumulative count of Article Views (full-text article views including HTML views, PDF and ePub downloads, according to the available data) and Abstracts Views on Vision4Press platform.

Data correspond to usage on the plateform after 2015. The current usage metrics is available 48-96 hours after online publication and is updated daily on week days.

Initial download of the metrics may take a while.