Free Access

Fig. 20

thumbnail

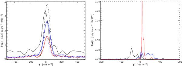
Left: Gaussian restored |F(φ)| spectra of compact sources. B3 0559+422A black solid line, NVSS J060406+422125 blue dashed line, NVSS J060416+422110 (south component) blue solid line, NVSS J060416+422110 (north component) dashed-dotted blue line, NVSS J060231+422811 (west component) red dashed line, NVSS  J060231+422811 (east component) red solid line, and NVSS J060206+422045 black dashed line. The high “residuals” for B3 0559+422A are an artifact due to remaining calibration errors. Right: |F(φ)| spectra, consisting of clean components, extracted at three different positions from relic B. The positions are indicated by the circles drawn in Fig. 19. Red line: position B3, blue line: position B2, and black line: position B1 (see also Fig. 3).

This figure is made of several images, please see below:

Current usage metrics show cumulative count of Article Views (full-text article views including HTML views, PDF and ePub downloads, according to the available data) and Abstracts Views on Vision4Press platform.

Data correspond to usage on the plateform after 2015. The current usage metrics is available 48-96 hours after online publication and is updated daily on week days.

Initial download of the metrics may take a while.