Free Access

Fig. 2

thumbnail

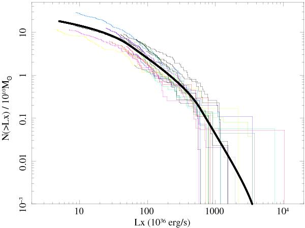
Cumulative XLFs of LMXBs in galaxies of our sample. They are CXB subtracted, incompleteness corrected, and normalized to the stellar mass of the host galaxy. They are plotted above corresponding Llim of each galaxy. The solid line is the average XLF of LMXBs in nearby galaxies from Gilfanov (2004).

Current usage metrics show cumulative count of Article Views (full-text article views including HTML views, PDF and ePub downloads, according to the available data) and Abstracts Views on Vision4Press platform.

Data correspond to usage on the plateform after 2015. The current usage metrics is available 48-96 hours after online publication and is updated daily on week days.

Initial download of the metrics may take a while.