Free Access

Fig. 3

thumbnail

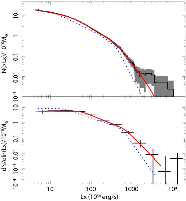
Combined luminosity distribution of LMXBs in our sample in cumulative (upper panel) and differential (lower panel) forms. The distributions are CXB subtracted and incompleteness corrected, as described in the text. The shaded area in the upper panel indicates the 1σ Poissonian uncertainty. The solid lines show the best-fit model with two breaks, the dotted lines show the average LMXB XLF from Gilfanov (2004). See Sect. 6 for discussion and caveats of the high-luminosity tail.

Current usage metrics show cumulative count of Article Views (full-text article views including HTML views, PDF and ePub downloads, according to the available data) and Abstracts Views on Vision4Press platform.

Data correspond to usage on the plateform after 2015. The current usage metrics is available 48-96 hours after online publication and is updated daily on week days.

Initial download of the metrics may take a while.