Free Access

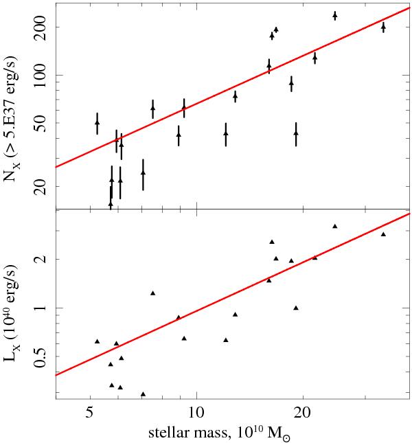
Fig. 4

thumbnail

Relation of the total number (upper panel) and luminosity (lower panel) of LMXBs in the study field in each galaxy with the stellar mass. The solid lines show the best fittings.

Current usage metrics show cumulative count of Article Views (full-text article views including HTML views, PDF and ePub downloads, according to the available data) and Abstracts Views on Vision4Press platform.

Data correspond to usage on the plateform after 2015. The current usage metrics is available 48-96 hours after online publication and is updated daily on week days.

Initial download of the metrics may take a while.