Press Release
Free Access

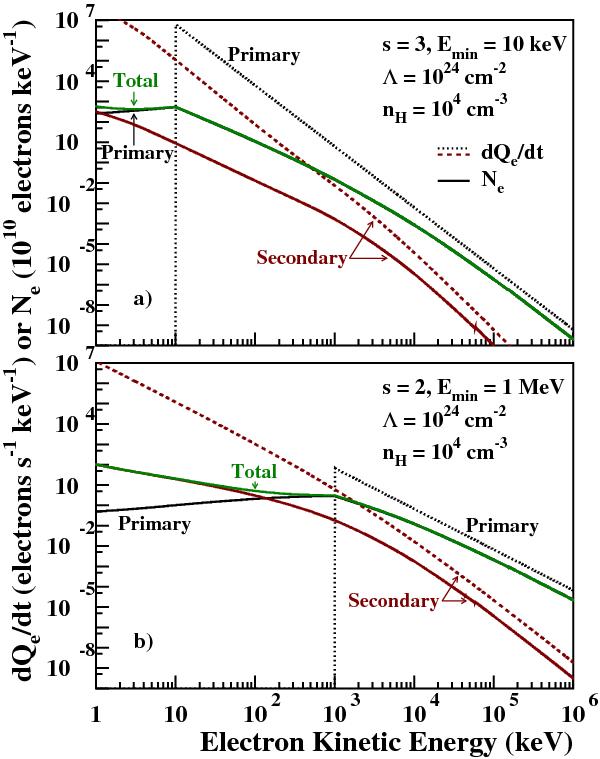
Fig. B.1

thumbnail

Calculated differential equilibrium electron numbers (Ne; solid lines) for two differential injection rates of primary electrons (dQe,p / dt; dotted lines): a) s = 3, Emin = 10 keV; b) s = 2, Emin = 1 MeV. Also shown are the differential production rates of secondary, knock-on electrons (dQe,s / dt; dashed lines). The H density in the nonthermal X-ray production region, which intervenes in the calculation of Ne,p and Ne,s, is nH = 104 cm-3 and the path length of the primary electrons in this region is Λ = 1024 cm-2. The calculations are normalized to a total power of 1 erg s-1 injected by the primary LECR electrons in the X-ray production region.

Current usage metrics show cumulative count of Article Views (full-text article views including HTML views, PDF and ePub downloads, according to the available data) and Abstracts Views on Vision4Press platform.

Data correspond to usage on the plateform after 2015. The current usage metrics is available 48-96 hours after online publication and is updated daily on week days.

Initial download of the metrics may take a while.