Press Release
Free Access

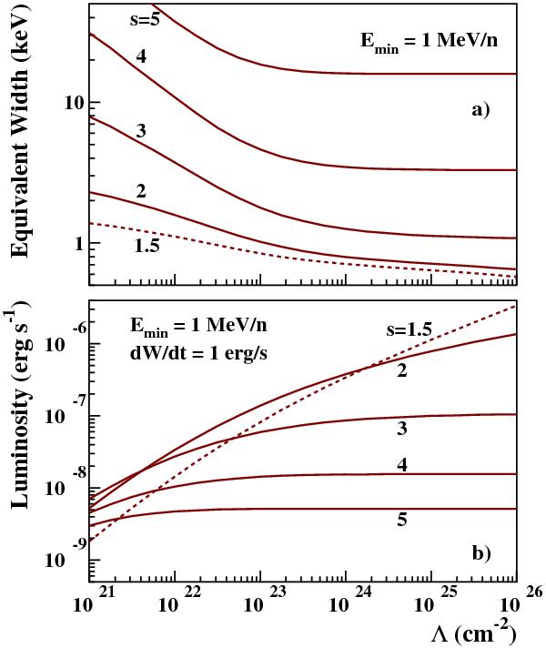
Fig. 6

thumbnail

Calculated a) EW and b) luminosity of the 6.4 keV Fe Kα line produced by LECR ions as a function of the path length of the CRs injected in the X-ray production region, for five values of the CR source spectral index s (Eq. (A.7)). The ambient medium is assumed to have a solar composition, and the minimum energy of the CRs that penetrate this medium is Emin = 1 MeV nucleon-1. In panel b) the luminosity calculations are normalized to a total power of 1 erg s-1 injected by the fast primary protons in the ambient medium.

Current usage metrics show cumulative count of Article Views (full-text article views including HTML views, PDF and ePub downloads, according to the available data) and Abstracts Views on Vision4Press platform.

Data correspond to usage on the plateform after 2015. The current usage metrics is available 48-96 hours after online publication and is updated daily on week days.

Initial download of the metrics may take a while.