Free Access

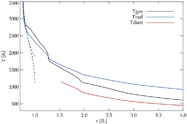
Fig. 6

thumbnail

Dust-, gas- and radiation-temperatures as a function of distance for a model with a time-dependent description of the dust formation, using Mg2SiO4 grains (Höfner 2008). The dashed lines show the temperature profiles of the hydrostatic starting model for the gas component (black) and the radiation field (blue) at ϕ = 0.25.

Current usage metrics show cumulative count of Article Views (full-text article views including HTML views, PDF and ePub downloads, according to the available data) and Abstracts Views on Vision4Press platform.

Data correspond to usage on the plateform after 2015. The current usage metrics is available 48-96 hours after online publication and is updated daily on week days.

Initial download of the metrics may take a while.