Free Access

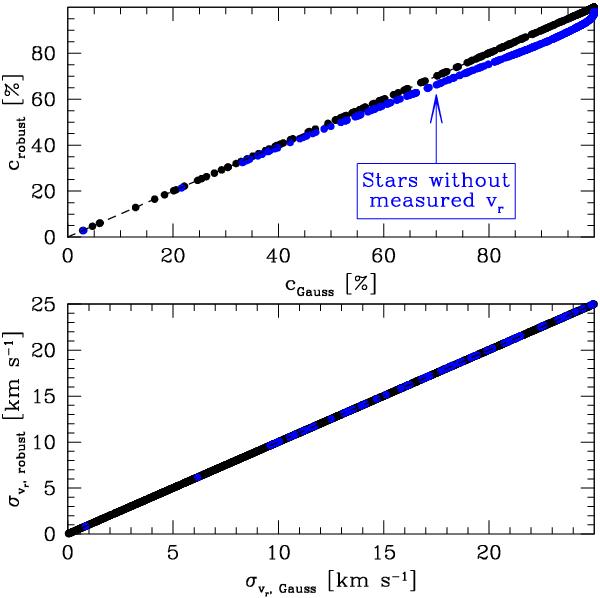
Fig. 8

thumbnail

Comparison of the robust and Gaussian criteria for all stars with σϖ/ϖ better than 5%. The top panel compares the confidence levels while the bottom panel compares the radial-velocity standard errors σvr required to reach a confidence level c = 68.27%. The top panel shows two branches of data points: the linear, one-to-one branch corresponds to stars with a measured radial velocity, whereas the lower, curved branch corresponds to stars without measured radial velocity in the XHIP catalogue. As explained in Sect. 6.2, the latter objects suffer from a bias in the Gaussian confidence level cGauss.

Current usage metrics show cumulative count of Article Views (full-text article views including HTML views, PDF and ePub downloads, according to the available data) and Abstracts Views on Vision4Press platform.

Data correspond to usage on the plateform after 2015. The current usage metrics is available 48-96 hours after online publication and is updated daily on week days.

Initial download of the metrics may take a while.