Free Access

Fig. 2

thumbnail

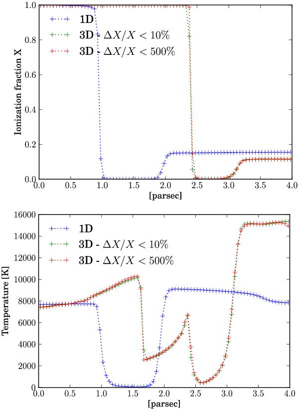
Results of our 1D and 3D simulations of an isolated clump inside a completely ionized medium exposed to an ionization flux of 109 photons per second per squared centimeter. Note that in the 1D simulation the clump is in fact an infinite slab. Top: ionization profile through the middle of the box at t = 500 ky. Bottom: temperature profile at T = 500 ky. The ionization source is at x = 0 parsec. In the 1D simulation, the clump is located at x = 1.5 parsec, while in the 3D simulations it is at 2.75 parsec. The two 3D simulations show that we do not needed to limit too strongly the variation in the ionization fraction. The gas behind the clump is in the shadow and therefore recombine. Its recombination time is long and the gas is not in equilibrium. These simulations also show the importance of the 3D effects on the temperature structure.

This figure is made of several images, please see below:

Current usage metrics show cumulative count of Article Views (full-text article views including HTML views, PDF and ePub downloads, according to the available data) and Abstracts Views on Vision4Press platform.

Data correspond to usage on the plateform after 2015. The current usage metrics is available 48-96 hours after online publication and is updated daily on week days.

Initial download of the metrics may take a while.