Free Access

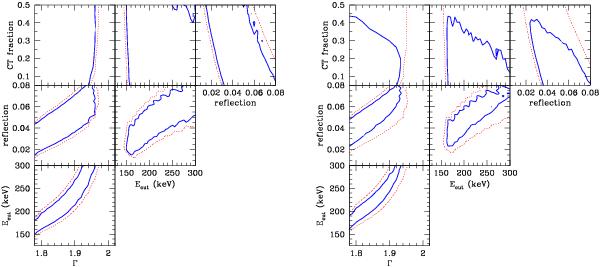
Fig. 2

thumbnail

Left: confidence intervals for the model parameters Γ, EC, fREF and fCT used to synthesise the XRB spectrum. The (blue) thick continuous line corresponds to the 68 per cent confidence level (Δχ2 = 4.72 for four parameters). The (red) thin dotted line marks the 95th percentile (Δχ2 = 9.70 for four parameters). Right: same as right panel but including to our XRB synthesis results the contribution of blazars, as modelled by Draper & Ballantyne (2009).

This figure is made of several images, please see below:

Current usage metrics show cumulative count of Article Views (full-text article views including HTML views, PDF and ePub downloads, according to the available data) and Abstracts Views on Vision4Press platform.

Data correspond to usage on the plateform after 2015. The current usage metrics is available 48-96 hours after online publication and is updated daily on week days.

Initial download of the metrics may take a while.