Free Access

Fig. 3

thumbnail

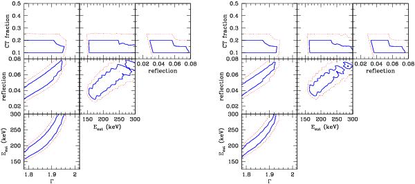
Joint constraints on the parameters Γ, EC, fREF and fCT based on both the XRB spectrum and the fraction of Compton-thick of AGN in the Swift/BAT AGN survey (Burlon et al. 2011). Left: the (blue) thick continuous line marks the region of the parameter space which is consistent at the 68% confidence level with both the observed XRB spectrum and the fraction of Swift/BAT Compton-Thick AGN. The (red) thin dotted line marks the region which is consistent with those observations at the 95% confidence level. Right: same as left panel including the contribution of blazars, as modeled by Draper & Ballantyne (2009), to the XRB synthesis results.

This figure is made of several images, please see below:

Current usage metrics show cumulative count of Article Views (full-text article views including HTML views, PDF and ePub downloads, according to the available data) and Abstracts Views on Vision4Press platform.

Data correspond to usage on the plateform after 2015. The current usage metrics is available 48-96 hours after online publication and is updated daily on week days.

Initial download of the metrics may take a while.