Highlight
Free Access

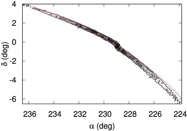
Fig. 1

thumbnail

Map of the surface density of stars of the simulated cluster in the plane of the sky. The solid red line represents the local orbit.

Current usage metrics show cumulative count of Article Views (full-text article views including HTML views, PDF and ePub downloads, according to the available data) and Abstracts Views on Vision4Press platform.

Data correspond to usage on the plateform after 2015. The current usage metrics is available 48-96 hours after online publication and is updated daily on week days.

Initial download of the metrics may take a while.