Highlight
Free Access

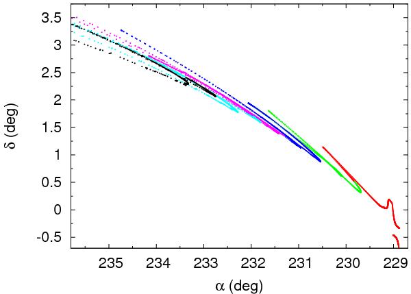
Fig. 4

thumbnail

Streaklines which show the positions, at the present time, of stars that have escaped from Pal 5 in the last 2.95 Gyr. Different colors correspond to stars lost between 0. and 0.5 Gyr ago (red dots), between 0.5 and 1.0 Gyr ago (green dots), between 1.0 and 1.5 Gyr ago (blue dots), between 1.5 and 2.0 Gyr ago (magenta dots), between 2.0 and 2.5 Gyr ago (cyan dots), between 2.5 Gyr and 2.95 Gyr ago (black dots).

Current usage metrics show cumulative count of Article Views (full-text article views including HTML views, PDF and ePub downloads, according to the available data) and Abstracts Views on Vision4Press platform.

Data correspond to usage on the plateform after 2015. The current usage metrics is available 48-96 hours after online publication and is updated daily on week days.

Initial download of the metrics may take a while.