Free Access

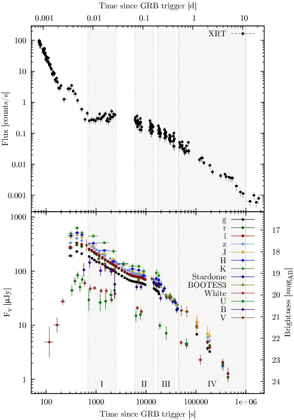
Fig. 2

thumbnail

Light curve of the X-ray (top panel) and ultraviolet, optical and near-infrared (bottom panel) afterglow of GRB 091029. Shown data are corrected for Galactic foreground extinction and are in AB magnitudes. Upper limits are not shown for better clarity. Gray regions show the time intervals where XRT data were obtained for the broad-band SEDs (Fig. 6).

Current usage metrics show cumulative count of Article Views (full-text article views including HTML views, PDF and ePub downloads, according to the available data) and Abstracts Views on Vision4Press platform.

Data correspond to usage on the plateform after 2015. The current usage metrics is available 48-96 hours after online publication and is updated daily on week days.

Initial download of the metrics may take a while.