Free Access

Fig. 10

thumbnail

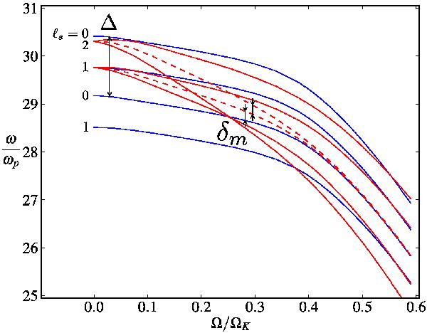
Normalized frequencies ω/ωp as a function of normalized rotation velocity Ω/ΩK. The quantum numbers of the displayed modes are: n = 44,  = 0, m ∈  {  − 2, − 1,1,2 }  with the n ∈  [43,46] ,  = 0, m = 0 modes. Blue: m = 0, red:  | m |  ∈  { 1,2 } . For clarity, the corresponding degrees of the spherical harmonics are also written. Continuous line: frequencies in the observer frame, dashed line: in the rotating frame. We have outlined the large frequency separation Δ and the δm spacing with arrows. (This figure is available in color in the electronic form.)

Current usage metrics show cumulative count of Article Views (full-text article views including HTML views, PDF and ePub downloads, according to the available data) and Abstracts Views on Vision4Press platform.

Data correspond to usage on the plateform after 2015. The current usage metrics is available 48-96 hours after online publication and is updated daily on week days.

Initial download of the metrics may take a while.