Free Access

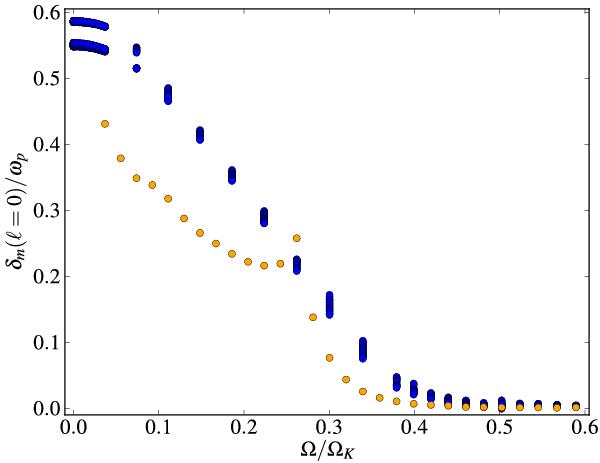
Fig. 5

thumbnail

Comparison of frequency spacing δm between island modes, computed from numerical simulations and semi-analytical formula Eq. (53) for different values of Ω/ΩK (the frequency spacings are normalized by with Rp the polar radius). Orange/gray: semi-analytical results of Eq. (53) for n = 42 and m = 1, blue/black: numerical results. The numerical results correspond to different sets of δm for n ∈  [42,51] ,  = 0 and m ∈  {  − 1,1 } . (This figure is available in color in the electronic form.)

Current usage metrics show cumulative count of Article Views (full-text article views including HTML views, PDF and ePub downloads, according to the available data) and Abstracts Views on Vision4Press platform.

Data correspond to usage on the plateform after 2015. The current usage metrics is available 48-96 hours after online publication and is updated daily on week days.

Initial download of the metrics may take a while.