Free Access

Fig. 6

thumbnail

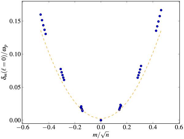
Frequency spacings δm( = 0) = ωn,ℓ = 0,m − ωn,ℓ = 0,m = 0, normalized by ωp, as a function of m/. The integers n, and m are the quantum numbers of island modes. The rotation rate is Ω/ΩK = 0.419. Blue/black dots: numerical results. Orange/gray dashed line: semi-analytical results for the last term in Eq. (58). Numerical modes included are for quantum numbers n ∈  {42,44,46,48,50},  = 0 and m ∈  [−3,3] . (This figure is available in color in the electronic form.)

Current usage metrics show cumulative count of Article Views (full-text article views including HTML views, PDF and ePub downloads, according to the available data) and Abstracts Views on Vision4Press platform.

Data correspond to usage on the plateform after 2015. The current usage metrics is available 48-96 hours after online publication and is updated daily on week days.

Initial download of the metrics may take a while.